伏安极谱法在海水监测领域的应用
基本の原理
上期我们聊到伏安法,知道了是捷克化学家Heyrovský发明了极谱技术后,才促进了伏安法的广泛应用。那么今天我们来聊聊极谱法到底是一个什么样的神奇方法呢?
简单说,极谱法就是一种特殊的伏安法,它使用滴汞电极或其他表面能周期性更新的液体电极(作为阴极)取代传统的表面不能自我更新的固态(或液态)电极而作为工作电极(极化电极)。
极谱法一般采用三电极系统:

对电极:Pt电极
参比电极:饱和甘汞电极(SCE)或Ag-AgCl电极
工作电极:滴汞控制装置(0.5-10秒一滴),玻璃毛细管(内径20-100 μm)
同时,还需通入氮气,脱去溶液中的氧气。
这种滴汞工作电极,因为面积很小,在电解时电流密度就会很大,电极附近的可还原物质(如金属阳离子,Cd2+、Fe3+等)的浓度几乎为零,于是因溶液中的浓度差而产生了浓差极化。此时,当我们控制恒定的电位进行电解时,所测得的极限扩散电流(Limiting Diffusion current)就与被测的可还原物质的浓度成正比关系,同时根据极限电流的跃升电位(半波电位,Half-wave potential),就可以对被测物质进行定性和定量了。

定量:Id(极限扩散电流)=Il(极限电流) - Ir(残余电流)
广泛の应用
极谱法因其简便、快速、操作简单、成本低等优点,被广泛应用于各行各业的日常检测监测工作中。
目前,我国现行与极谱法相关的国家标准并不多,约15个,主要应用在环境水质、合金、矿石分析领域:
No. | 标准号 | 标准名称 | 实施日期 |
1 | 2020年7月1日 | ||
2 | 2018年4月1日 | ||
3 | 2018年4月1日 | ||
4 | 2018年4月1日 | ||
5 | 2014年7月1日 | ||
6 | 2011年2月1日 | ||
7 | 2011年2月1日 | ||
8 | 2008年11月1日 | ||
9 | 2004年10月1日 | ||
10 | 1993年9月1日 | ||
11 | 1993年9月1日 | ||
12 | 1993年9月1日 | ||
13 | 1989年4月1日 | ||
14 | 1988年6月1日 | ||
15 | GB 17378.4-2007 | 海洋监测规范 第4部分:海水分析 | 2008年5月1日 |
极谱法更多的在行业领域应用较为广泛,现行约24个行业标准:
No. | 标准号 | 标准名称 | 行业领域 | 实施日期 |
1 | HG/T 5564-2019 | 化工 | 2020年7月1日 | |
2 | DZ/T 0279.20-2016 | 地质矿产 | 2016年12月1日 | |
3 | YS/T 1288.2-2018 | 有色金属 | 2019年4月1日 | |
4 | EJ/T 862-1994 | 核工业 | 1994年12月1日 | |
5 | YS/T 34.3-2011 | 有色金属 | 2012年7月1日 | |
6 | DL/T 1202-2013 | 电力 | 2013年8月1日 | |
7 | YS/T 536.9-2009 | 有色金属 | 2010年6月1日 | |
8 | YS/T 34.2-2011 | 有色金属 | 2012年7月1日 | |
9 | EJ/T 752-1993 | 核工业 | 1993年10月1日 | |
10 | DZ/T 0064.41-1993 | 地质矿产 | 1993年10月1日 | |
11 | DZ/T 0064.18-1993 | 地质矿产 | 1993年10月1日 | |
12 | WS/T 150-1999 | 卫生 | 2000年5月1日 | |
13 | DZ/T 0064.19-1993 | 地质矿产 | 1993年10月1日 | |
14 | DZ/T 0064.37-1993 | 地质矿产 | 1993年10月1日 | |
15 | DZ/T 0064.16-1993 | 地质矿产 | 1993年10月1日 | |
16 | DZ/T 0064.35-1993 | 地质矿产 | 1993年10月1日 | |
17 | JB 5224-1991 | 机械 | 1992年7月1日 | |
18 | DZ/T 0064.33-1993 | 地质矿产 | 1993年10月1日 | |
19 | DZ/T 0064.34-1993 | 地质矿产 | 1993年10月1日 | |
20 | DZ/T 0064.40-1993 | 地质矿产 | 1993年10月1日 | |
21 | SN/T 3627-2013 | 出入境检验检疫 | 2014年3月1日 | |
22 | WS/T 35-1996 | 卫生 | 1997年5月1日 | |
23 | WS/T 91-1996 | 卫生 | 1997年9月1日 | |
24 | WS/T 108-1999 | 卫生 | 1999年7月1日 |
极谱法也少量出现在地方标准中:
No. | 标准号 | 标准名称 | 地方 | 实施日期 |
1 | DB21/T 3081-2018 | 海水中铜、镉、铅、锌的连续测定-极谱法 | 辽宁省 | 2019年1月25日 |
2 | DB34/T 2127.9-2014 | 区域地球化学调查样品分析方法 第9 部分:催化极谱法钨、钼含量的测定 | 安徽省 | 2014年7月24日 |
在生态环境监测海水中の应用
我国是一个海洋资源大国,正常自然条件下,海水中的重金属含量是很低的,是不会对海洋生态造成影响的。然而,随着人类社会的经济活动,越来越多的工业废水和生活污水被排入到海洋中,由于废水和污水中含有大量的重金属污染物,排入到海洋中后被海洋中的浮游生物吸收,进入到生物链中,对海洋中的生物造成了很大的影响,在通过食物链影响到人类健康。因此,对海水中重金属含量的监测检测,快速而准确地掌握海水中痕量重金属元素的动态变化,是生态环境监测的重要任务之一。
目前常用的监测方法有原子荧光法、原子吸收法、X荧光法、ICP-MS法、阳极溶出法。但由于海水中含有大量的盐,如NaCl、MgCl2,且基体复杂,对于采用原子荧光、原子吸收、ICP等光谱分析法及其仪器产生了严重影响(造成高光谱干扰、高化学干扰、堵塞进样组件、腐蚀管路等),因此必须对海水样品进行繁琐的预处理。而伏安极谱法却是天生不受高盐度影响(海水中大量的盐分有助于消除迁移电流的影响),于是成为了检测海水的理想方法。
目前,在海水中重金属检测方面有两个主要的标准:
《GB 17378.4-2007 海洋监测规范 第4部分:海水分析》
《DB21/T 3081-2018 海水中铜、镉、铅、锌的连续测定 - 极谱法》
以2019年1月25日辽宁省发布实施的《DB21/T 3081-2018 海水中铜、镉、铅、锌的连续测定 - 极谱法》标准为例,该标准采用极谱法,那就让我们看看AMEL 4330系统是如何应用在海水中金属离子的检测中的。
仪器配置:
AMEL 4330或4330/P工作电极WE:汞电极
参比电极RE:Ag/AgCl电极
对电极CE:Pt电极


模式:DPS
扫描电位范围:-1.15~0.00 V
富集电位:-1.15 V
富集时间:120~300 s
脉冲幅度:0.05 V
氮吹时间:300 s
扫描速率:10~100 mV/s
特征峰电压:Cu -0.30 V、Cd -0.72 V、Pb -0.52 V、Zn -1.10 V
操作步骤:
1.样品前处理:用HNO3或NaOH调节海水样品pH=4.00~6.00范围,并通过恒温水浴锅控制温度在10.0~35.0 ℃;如果海水样品中有明显的漂浮物等杂质,采用0.45 μm水性滤膜过滤。
2.准确量取10.00 mL样品于反应池中测定,记录Cu、Cd、Pb、Zn的峰电流值,再参考本底测定值选择并加入10.0~200 μL Cu、Cd、Pb、Zn标准混合使用溶液后测定,并记录加标后Cu、Cd、Pb、Zn的峰电流值。
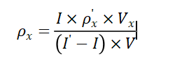
结果计算:
海水样品中Cu、Cd、Pb、Zn的浓度分别按下式计算:

- 海水中Cu、Cd、Pb、Zn的浓度,μg/L;I - 加入标准混合使用溶液前Cu、Cd、Pb、Zn的峰电流值,nA;
- Cu、Cd、Pb、Zn标准混合使用溶液的浓度,mg/L;Vx - 加入铜、镉、铅、锌标准混合使用溶液的体积,μL;
I’ - 加入铜、镉、铅、锌标准混合使用溶液后Cu、Cd、Pb、Zn的峰电流值,nA;
V - 测定用海水样品的体积,mL。
总结
极谱法因其检测原理决定,先天具有高选择性、抗干扰性、耐高盐背景,非常适用于复杂液体样品中的离子检测,无需繁琐的样品前处理,操作简便快速,灵敏度高,运行成本低,能够满足对地表水、地下水、海水等水质的日常环境检测监测需求。
2026世界杯非洲预选赛直播间是Amel极谱仪产品在中国地区的授权代理。sjb有限公司(香港)是专业的sjb实验室仪器代理商,拥有多年的科研仪器销售和服务经验,广泛服务于教育科研机构、知名企业和政府机构。
欢迎咨询!
